WAMENA, KLIKTIMUR.COM – Menjelang Hari Raya Lebaran 2026, harga bahan pokok (sembako) dan sejumlah komoditas pangan diprediksi mengalami kenaikan. Komoditas yang perlu diwaspadai antara lain cabai rawit merah, bawang merah, telur ayam, dan daging sapi.
Pelaksana Tugas (Plt) Kepala Dinas Tenaga Kerja dan Perindustrian Kabupaten Jayawijaya, Lekius Yikwa, menyampaikan hal tersebut pada rabu (18/2/2026) di Wamena, Provinsi Papua Pegunungan.
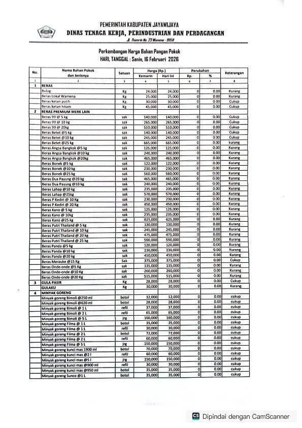
Menurutnya, kenaikan harga dipengaruhi oleh lonjakan konsumsi rumah tangga selama bulan puasa dan Lebaran, serta meningkatnya peredaran uang di masyarakat, termasuk Tunjangan Hari Raya (THR).
“Pemerintah telah mengambil langkah-langkah untuk menjaga stabilitas harga, antara lain melalui operasi pasar dan penetapan harga satuan oleh dinas terkait. Pemerintah juga memastikan bahwa stok sembilan bahan pokok pangan cukup untuk memenuhi kebutuhan,” ujarnya.
Ia menambahkan, Pemerintah Kabupaten Jayawijaya telah menetapkan harga satuan untuk beberapa komoditas tertentu guna mengantisipasi lonjakan harga yang tidak terkendali.
Tips untuk Konsumen:
Belanja lebih awal untuk menghindari keramaian dan potensi kenaikan harga.
Perhatikan harga yang telah ditetapkan oleh pemerintah.
Cek daftar komoditas yang berpotensi naik menjelang Lebaran.
Masyarakat diimbau untuk mematuhi ketentuan harga yang telah ditetapkan dan segera melaporkan kepada pihak berwenang apabila ditemukan pelanggaran di lapangan.
(Gadiel Gombo)





Eksplorasi konten lain dari Kliktimur
Berlangganan untuk dapatkan pos terbaru lewat email.


